The authors looked at the ability of different machine learning algorithms to predict the level of financial corruption in different countries.
Read More...Predicting and explaining illicit financial flows in developing countries: A machine learning approach
The authors looked at the ability of different machine learning algorithms to predict the level of financial corruption in different countries.
Read More...Machine learning-based enzyme engineering of PETase for improved efficiency in plastic degradation
Here, recognizing the recognizing the growing threat of non-biodegradable plastic waste, the authors investigated the ability to use a modified enzyme identified in bacteria to decompose polyethylene terephthalate (PET). They used simulations to screen and identify an optimized enzyme based on machine learning models. Ultimately, they identified a potential mutant PETases capable of decomposing PET with improved thermal stability.
Read More...Predicting asthma-related emergency department visits and hospitalizations with machine learning techniques
Seeking to investigate the effects of ambient pollutants on human respiratory health, here the authors used machine learning to examine asthma in Lost Angeles County, an area with substantial pollution. By using machine learning models and classification techniques, the authors identified that nitrogen dioxide and ozone levels were significantly correlated with asthma hospitalizations. Based on an identified seasonal surge in asthma hospitalizations, the authors suggest future directions to improve machine learning modeling to investigate these relationships.
Read More...Using advanced machine learning and voice analysis features for Parkinson’s disease progression prediction
The authors looked at the ability to use audio clips to analyze the progression of Parkinson's disease.
Read More...A natural language processing approach to skill identification in the job market
The authors looked at using machine learning to identify skills needed to apply for certain jobs, specifically looking at different techniques to parse apart the text. They found that Bidirectional Encoder Representation of Transforms (BERT) performed best.
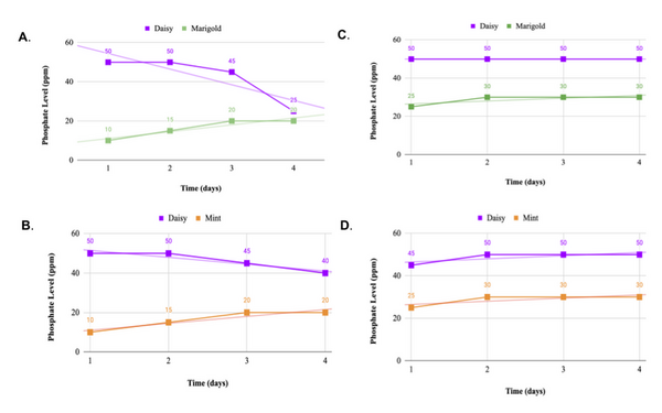
Read More...Analyzing the effect of mycorrhizal fungi on plant communication of nutrients
The authors looked at the ability of plants to transfer phosphate between each other through mycorrhizal fungi. Specifically, they looked at whether plants with excess phosphate would transfer this nutrient to other plants that had depleted levels of phosphate.
Read More...Deep dive into predicting insurance premiums using machine learning
The authors looked at different factors, such as age, pre-existing conditions, and geographic region, and their ability to predict what an individual's health insurance premium would be.
Read More...Applying centrality analysis on a protein interaction network to predict colorectal cancer driver genes
In this article the authors created an interaction map of proteins involved in colorectal cancer to look for driver vs. non-driver genes. That is they wanted to see if they could determine what genes are more likely to drive the development and progression in colorectal cancer and which are present in altered states but not necessarily driving disease progression.
Read More...Depression detection in social media text: leveraging machine learning for effective screening
Depression affects millions globally, yet identifying symptoms remains challenging. This study explored detecting depression-related patterns in social media texts using natural language processing and machine learning algorithms, including decision trees and random forests. Our findings suggest that analyzing online text activity can serve as a viable method for screening mental disorders, potentially improving diagnosis accuracy by incorporating both physical and psychological indicators.
Read More...Optimizing data augmentation to improve machine learning accuracy on endemic frog calls
The mountain chain of the Western Ghats on the Indian peninsula, a UNESCO World Heritage site, is home to about 200 frog species, 89 of which are endemic. Distinctive to each frog species, their vocalizations can be used for species recognition. Manually surveying frogs at night during the rain in elephant and big cat forests is difficult, so being able to autonomously record ambient soundscapes and identify species is essential. An effective machine learning (ML) species classifier requires substantial training data from this area. The goal of this study was to assess data augmentation techniques on a dataset of frog vocalizations from this region, which has a minimal number of audio recordings per species. Consequently, enhancing an ML model’s performance with limited data is necessary. We analyzed the effects of four data augmentation techniques (Time Shifting, Noise Injection, Spectral Augmentation, and Test-Time Augmentation) individually and their combined effect on the frog vocalization data and the public environmental sounds dataset (ESC-50). The effect of combined data augmentation techniques improved the model's relative accuracy as the size of the dataset decreased. The combination of all four techniques improved the ML model’s classification accuracy on the frog calls dataset by 94%. This study established a data augmentation approach to maximize the classification accuracy with sparse data of frog call recordings, thereby creating a possibility to build a real-world automated field frog species identifier system. Such a system can significantly help in the conservation of frog species in this vital biodiversity hotspot.
Read More...