Browse Articles

Error mitigation of quantum teleportation on IBM quantum computers

Chen et al. | May 15, 2023

Error mitigation of quantum teleportation on IBM quantum computers

Quantum computers can perform computational tasks beyond the capability of classical computers, such as simulating quantum systems in materials science and chemistry. Quantum teleportation is the transfer of quantum information across distances, relying on entangled states generated by quantum computing. We sought to mitigate the error of quantum teleportation which was simulated on IBM cloud quantum computers.

Read More...

Prediction of molecular energy using Coulomb matrix and Graph Neural Network

Hazra et al. | Feb 01, 2022

Prediction of molecular energy using Coulomb matrix and Graph Neural Network

With molecular energy being an integral element to the study of molecules and molecular interactions, computational methods to determine molecular energy are used for the preservation of time and resources. However, these computational methods have high demand for computer resources, limiting their widespread feasibility. The authors of this study employed machine learning to address this disadvantage, utilizing neural networks trained on different representations of molecules to predict molecular properties without the requirement of computationally-intensive processing. In their findings, the authors determined the Feedforward Neural Network, trained by two separate models, as capable of predicting molecular energy with limited prediction error.

Read More...

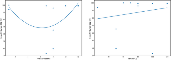
Pressure and temperature influence the efficacy of metal-organic frameworks for carbon capture and conversion

Lin et al. | May 07, 2023

Pressure and temperature influence the efficacy of metal-organic frameworks for carbon capture and conversion

Metal-organic frameworks (MOFs) are promising new nanomaterials for use in the fight against climate change that can efficiently capture and convert CO2 to other useful carbon products. This research used computational models to determine the reaction conditions under which MOFs can more efficiently capture and convert CO2. In a cost-efficient manner, this analysis tested the hypothesis that pressure and temperature affect the efficacy of carbon capture and conversion, and contribute to understanding the optimal conditions for MOF performance to improve the use of MOFs for controlling greenhouse CO2 emissions.

Read More...

Impact of carbon number and atom number on cc-pVTZ Hartree-Fock Energy and program runtime of alkanes

Pan et al. | Mar 06, 2024

Impact of carbon number and atom number on cc-pVTZ Hartree-Fock Energy and program runtime of alkanes
Image credit: The authors

It's time-consuming to complete the calculations that are used to study nuclear reactions and energy. To uncover which computational chemistry tools are useful for this challenge, Pan, Vaiyakarnam, Li, and McMahan investigated whether the Python-based Simulations of Chemistry Framework’s Hartree-Fock (PySCF) method is an efficient and accurate way to assess alkane molecules.

Read More...

Hybrid Quantum-Classical Generative Adversarial Network for synthesizing chemically feasible molecules

Sikdar et al. | Jan 10, 2023

Hybrid Quantum-Classical Generative Adversarial Network for synthesizing chemically feasible molecules

Current drug discovery processes can cost billions of dollars and usually take five to ten years. People have been researching and implementing various computational approaches to search for molecules and compounds from the chemical space, which can be on the order of 1060 molecules. One solution involves deep generative models, which are artificial intelligence models that learn from nonlinear data by modeling the probability distribution of chemical structures and creating similar data points from the trends it identifies. Aiming for faster runtime and greater robustness when analyzing high-dimensional data, we designed and implemented a Hybrid Quantum-Classical Generative Adversarial Network (QGAN) to synthesize molecules.

Read More...

Cocktail therapy to inhibit multispecies biofilm in cystic fibrosis patients

Bhat et al. | Sep 22, 2022

Cocktail therapy to inhibit multispecies biofilm in cystic fibrosis patients

Here, recognizing the important role of bacterial biofilms in many life-threatening chronic infections, the authors investigated the effectiveness of a combination treatment on biofilms composed of up to three different common species within the lungs of cystic fibrosis patients with computational analysis. They found that a triple cocktail therapy targeting three different signaling pathways has significant potential as both a treatment and prophylaxis.

Read More...

Analysis of the effects of positive ions and boundary layer temperature at various hypersonic speeds on boundary layer density

Selvakumar et al. | Oct 02, 2020

Analysis of the effects of positive ions and boundary layer temperature at various hypersonic speeds on boundary layer density

This study's goal was to identify the Mach numbers for which electrostatic drag and heat transfer manipulation would be most applicable inside the stratosphere. The experiments were conducted using computational fluid dynamics software. The study demonstrated that, on average, higher Mach speeds resulted in a considerably higher potential decrease in density. The study highlights that further research on the surface charge method is warranted to explore higher hypersonic speeds within the stratosphere.

Read More...

Enhanced brain arteries and aneurysms analysis using a CAE-CFD approach

Saravanan et al. | Mar 02, 2025

Enhanced brain arteries and aneurysms analysis using a CAE-CFD approach
Image credit: Vineet Saravanan

Here, recognizing that brain aneurysms pose a severe threat, often misdiagnosed and leading to high mortality, particularly in younger individuals, the authors explored a novel computer-aided engineering approach. They used magnetic resonance angiography images and computational fluid dynamics, to improve aneurysm detection and risk assessment, aiming for more personalized treatment.

Read More...

A meta-analysis on NIST post-quantum cryptographic primitive finalists

Benny et al. | Sep 21, 2024

A meta-analysis on NIST post-quantum cryptographic primitive finalists
Image credit: Benny et al. 2024

The advent of quantum computing will pose a substantial threat to the security of classical cryptographic methods, which could become vulnerable to quantum-based attacks. In response to this impending challenge, the field of post-quantum cryptography has emerged, aiming to develop algorithms that can withstand the computational power of quantum computers. This study addressed the pressing concern of classical cryptographic methods becoming vulnerable to quantum-based attacks due to the rise of quantum computing. The emergence of post-quantum cryptography has led to the development of new resistant algorithms. Our research focused on four quantum-resistant algorithms endorsed by America’s National Institute of Standards and Technology (NIST) in 2022: CRYSTALS-Kyber, CRYSTALS-Dilithium, FALCON, and SPHINCS+. This study evaluated the security, performance, and comparative attributes of the four algorithms, considering factors such as key size, encryption/decryption speed, and complexity. Comparative analyses against each other and existing quantum-resistant algorithms provided insights into the strengths and weaknesses of each program. This research explored potential applications and future directions in the realm of quantum-resistant cryptography. Our findings concluded that the NIST algorithms were substantially more effective and efficient compared to classical cryptographic algorithms. Ultimately, this work underscored the need to adapt cryptographic techniques in the face of advancing quantum computing capabilities, offering valuable insights for researchers and practitioners in the field. Implementing NIST-endorsed quantum-resistant algorithms substantially reduced the vulnerability of cryptographic systems to quantum-based attacks compared to classical cryptographic methods.

Read More...