In this study, the authors address the concerns of heavy metal contamination in industrial and feedlot water waste. They test whether added probiotics are capable of taking up heavy metals in water to attenuate pollution.
Read More...Probiotic biosorption as a way to remove heavy metal in seawater
In this study, the authors address the concerns of heavy metal contamination in industrial and feedlot water waste. They test whether added probiotics are capable of taking up heavy metals in water to attenuate pollution.
Read More...Capturing Harmful Air Pollutants Using an Electrospun Mesh Embedded with Zinc-based Nanocrystals
Zeolithic imidazolate framework-8 (ZIF-8) is a specific metal-organic framework that has favorable qualities for use in an air filter and is known to be capable of adsorbing particulate matter. Therefore, the objective of this experiment was to determine the effectiveness of ZIF-8 in adsorbing polar, gaseous air pollutants, specifically nitrogen dioxide and hydrogen sulfide. In order to determine effectiveness, the percent change in concentration for various gases after the application of ZIF-8 crystals was measured via Fourier-transform infrared spectroscopy (FTIR). The work highlights crystals as a potentially promising alternative or addition to current filter materials to reduce atmospheric pollution.
Read More...A Taste of Sweetness in Bioplastics
Sweet potatoes are one of the most common starches in Taiwan, and sweet potato peels hold significant potential to make biodegradable plastics which can alleviate the environmental impact of conventional petroleum-based plastics. In this paper, Tsai et al created starch-based bioplastics derived from sweet potato peels and manipulated the amount of added glycerol to alter the plastic’s strength and flexibility properties. Their results indicated that higher concentrations of glycerol yield more malleable plastics, providing insights into how recycled agricultural waste material might be used to slow down the rate of pollution caused by widespread production of conventional plastics.
Read More...A colorimetric investigation of copper(II) solutions
In this study, the authors investigate the effects of acetone on the color of copper chloride (CuCl2) solution, which has important implications for detecting copper in the environment.
Read More...Incorporating graphite from pencils as a component of lithium-ion batteries
The authors looked at the ability to use graphite from pencils in anodes of lithium-anode batteries.
Read More...Pressure and temperature influence the efficacy of metal-organic frameworks for carbon capture and conversion
Metal-organic frameworks (MOFs) are promising new nanomaterials for use in the fight against climate change that can efficiently capture and convert CO2 to other useful carbon products. This research used computational models to determine the reaction conditions under which MOFs can more efficiently capture and convert CO2. In a cost-efficient manner, this analysis tested the hypothesis that pressure and temperature affect the efficacy of carbon capture and conversion, and contribute to understanding the optimal conditions for MOF performance to improve the use of MOFs for controlling greenhouse CO2 emissions.
Read More...Heavy metal and bacterial water filtration using Moringa oleifera and coconut shell-activated carbon
One-third of the world's people do not have access to clean drinking water. Nadella and Nadella tackle this issue by testing a low-cost filtration system for removing heavy metal and bacteria from water.
Read More...Heavy Metal Contamination of Hand-Pressed Well Water in HuNan, China
Unprocessed water from hand-pressed wells is still commonly used as a source of drinking water in Chenzhou, the “Nonferrous Metal Village” of China. Long et al. conducted a study to measure the heavy metal contamination levels and potential health effects in this area. Water samples were analyzed through Inductively Coupled Plasma Optical Emission Spectroscopy (ICPOES) and the concentrations of 20 metal elements. Results showed that although none of the samples had dangerous levels of heavy metals, the concentrations of Al, Fe, and Mn in many locations substantially exceeded those suggested in the Chinese Drinking Water Standard and the maximum contaminant levels of Environmental Protection Agency (EPA). The authors have made an important discovery regarding the water safety in HuNan and their suggestions to install water treatment systems would greatly benefit the community.
Read More...Fabrication of CuSbS2 Solar Cells by Sulfurization of Thermally Evaporated Metal Stacks
In this article, the authors created CuSbS2 solar cells. They discovered that the cells' efficiency was affected by the formation of MoS2. By incorporating a layer of single-walled carbon nanotubes, however, they were able to prevent MoS2 formation and increase the device's efficiency.
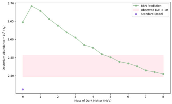
Read More...Measuring the effect of early universe dark matter on the primordial values of helium-4 and deuterium
Recent observations by the “Extremely Metal-Poor Representatives Explored by the Subaru Survey” (EMPRESS) collaboration found normal deuterium levels but unexpectedly low helium-4, challenging current cosmological theories. This study used simulations with the PRyMordial package to test whether dark matter particles interacting with neutrinos in the early universe could explain the discrepancy.
Read More...